插入排序算法采取增量式(Incremental)的策略解决问题,每次添一个元素到已排序的子序列中,逐渐将整个数组排序完毕,它的时间复杂度是O(n2)。下面介绍另一种典型的排序算法--归并排序,它采取分而治之(Divide-and-Conquer)的策略,时间复杂度是Θ(nlgn)。归并排序的步骤如下:
Divide: 把长度为n的输入序列分成两个长度为n/2的子序列。
Conquer: 对这两个子序列分别采用归并排序。
Combine: 将两个排序好的子序列合并成一个最终的排序序列。
在描述归并排序的步骤时又调用了归并排序本身,可见这是一个递归的过程。
例 11.2. 归并排序
#include <stdio.h>
#define LEN 8
int a[LEN] = { 5, 2, 4, 7, 1, 3, 2, 6 };
void merge(int start, int mid, int end)
{
int n1 = mid - start + 1;
int n2 = end - mid;
int left[n1], right[n2];
int i, j, k;
for (i = 0; i < n1; i++) /* left holds a[start..mid] */
left[i] = a[start+i];
for (j = 0; j < n2; j++) /* right holds a[mid+1..end] */
right[j] = a[mid+1+j];
i = j = 0;
k = start;
while (i < n1 && j < n2)
if (left[i] < right[j])
a[k++] = left[i++];
else
a[k++] = right[j++];
while (i < n1) /* left[] is not exhausted */
a[k++] = left[i++];
while (j < n2) /* right[] is not exhausted */
a[k++] = right[j++];
}
void sort(int start, int end)
{
int mid;
if (start < end) {
mid = (start + end) / 2;
printf("sort (%d-%d, %d-%d) %d %d %d %d %d %d %d %d\n",
start, mid, mid+1, end,
a[0], a[1], a[2], a[3], a[4], a[5], a[6], a[7]);
sort(start, mid);
sort(mid+1, end);
merge(start, mid, end);
printf("merge (%d-%d, %d-%d) to %d %d %d %d %d %d %d %d\n",
start, mid, mid+1, end,
a[0], a[1], a[2], a[3], a[4], a[5], a[6], a[7]);
}
}
int main(void)
{
sort(0, LEN-1);
return 0;
}执行结果是:
sort (0-3, 4-7) 5 2 4 7 1 3 2 6 sort (0-1, 2-3) 5 2 4 7 1 3 2 6 sort (0-0, 1-1) 5 2 4 7 1 3 2 6 merge (0-0, 1-1) to 2 5 4 7 1 3 2 6 sort (2-2, 3-3) 2 5 4 7 1 3 2 6 merge (2-2, 3-3) to 2 5 4 7 1 3 2 6 merge 0-1, 2-3) to 2 4 5 7 1 3 2 6 sort (4-5, 6-7) 2 4 5 7 1 3 2 6 sort (4-4, 5-5) 2 4 5 7 1 3 2 6 merge (4-4, 5-5) to 2 4 5 7 1 3 2 6 sort (6-6, 7-7) 2 4 5 7 1 3 2 6 merge (6-6, 7-7) to 2 4 5 7 1 3 2 6 merge (4-5, 6-7) to 2 4 5 7 1 2 3 6 merge (0-3, 4-7) to 1 2 2 3 4 5 6 7
sort函数把a[start..end]平均分成两个子序列,分别是a[start..mid]和a[mid+1..end],对这两个子序列分别递归调用sort函数进行排序,然后调用merge函数将排好序的两个子序列合并起来,由于两个子序列都已经排好序了,合并的过程很简单,每次循环取两个子序列中最小的元素进行比较,将较小的元素取出放到最终的排序序列中,如果其中一个子序列的元素已取完,就把另一个子序列剩下的元素都放到最终的排序序列中。为了便于理解程序,我在sort函数开头和结尾插了打印语句,可以看出调用过程是这样的:
图中S表示sort函数,M表示merge函数,整个控制流程沿虚线所示的方向调用和返回。由于sort函数递归调用了自己两次,所以各函数之间的调用关系呈树状结构。画这个图只是为了清楚地展现归并排序的过程,读者在理解递归函数时一定不要全部展开来看,而是要抓住Base Case和递推关系来理解。我们分析一下归并排序的时间复杂度,以下分析出自[算法导论]。
首先分析merge函数的时间复杂度。在merge函数中演示了C99的新特性--可变长数组,当然也可以避免使用这一特性,比如把left和right都按最大长度LEN分配。不管用哪种办法,定义数组并分配存储空间的执行时间都可以看作常数,与数组的长度无关,常数用Θ-notation记作Θ(1)。设子序列a[start..mid]的长度为n1,子序列[mid+1..end]的长度为n2,a[start..end]的总长度为n=n1+n2,则前两个for循环的执行时间是Θ(n1+n2),也就是Θ(n),后面三个for循环合在一起看,每走一次循环就会在最终的排序序列中确定一个元素,最终的排序序列共有n个元素,所以执行时间也是Θ(n)。两个Θ(n)再加上若干常数项,merge函数总的执行时间仍是Θ(n),其中n=end-start+1。
然后分析sort函数的时间复杂度,当输入长度n=1,也就是start==end时,if条件不成立,执行时间为常数Θ(1),当输入长度n>1时:
总的执行时间 = 2 × 输入长度为n/2的sort函数的执行时间 + merge函数的执行时间Θ(n)
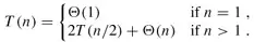
设输入长度为n的sort函数的执行时间为T(n),综上所述:

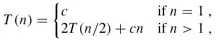
这是一个递推公式(Recurrence),我们需要消去等号右侧的T(n),把T(n)写成n的函数。其实符合一定条件的Recurrence的展开有数学公式可以套,这里我们略去严格的数学证明,只是从直观上看一下这个递推公式的结果。当n=1时可以设T(1)=c1,当n>1时可以设T(n)=2T(n/2)+c2n,我们取c1和c2中较大的一个设为c,把原来的公式改为:

这样计算出的结果应该是T(n)的上界。下面我们把T(n/2)展开成2T(n/4)+cn/2(下图中的(c)),然后再把T(n/4)进一步展开,直到最后全部变成T(1)=c(下图中的(d)):

把图(d)中所有的项加起来就是总的执行时间。这是一个树状结构,每一层的和都是cn,共有lgn+1层,因此总的执行时间是cnlgn+cn,相比nlgn来说,cn项可以忽略,因此T(n)的上界是Θ(nlgn)。
如果先前取c1和c2中较小的一个设为c,计算出的结果应该是T(n)的下界,然而推导过程一样,结果也是Θ(nlgn)。既然T(n)的上下界都是Θ(nlgn),显然T(n)就是Θ(nlgn)。
和插入排序的平均情况相比归并排序更快一些,虽然merge函数的步骤较多,引入了较大的常数、系数和低次项,但是对于较大的输入长度n,这些都不是主要因素,归并排序的时间复杂度是Θ(nlgn),而插入排序的平均情况是Θ(n2),这就决定了归并排序是更快的算法。但是不是任何情况下归并排序都优于插入排序呢?哪些情况适用插入排序而不适用归并排序?留给读者思考。
1、快速排序是另外一种采用分而治之策略的排序算法,在平均情况下的时间复杂度也是Θ(nlgn),但比归并排序有更小的时间常数。它的基本思想是这样的:
int partition(int start, int end)
{
从a[start..end]中选取一个pivot元素(比如选a[start]为pivot);
在一个循环中移动a[start..end]的数据,将a[start..end]分成两半,
使a[start..mid-1]比pivot元素小,a[mid+1..end]比pivot元素大,而a[mid]就是pivot元素;
return mid;
}
void quicksort(int start, int end)
{
int mid;
if (end > start) {
mid = partition(start, end);
quicksort(start, mid-1);
quicksort(mid+1, end);
}
}请补完partition函数,这个函数有多种写法,请选择时间常数尽可能小的实现方法。想想快速排序在最好和最坏情况下的时间复杂度是多少?快速排序在平均情况下的时间复杂度分析起来比较复杂,有兴趣的读者可以参考[算法导论]。