出售域名  LinuxTags

1. 链表

1.1. 单链表

图 23.6 “链表”所示的链表即单链表(Single Linked List),本节我们学习如何创建和操作这种链表。每个链表有一个头指针,通过头指针可以找到第一个节点,每个节点都可以通过指针域找到它的后继,最后一个节点的指针域为NULL,表示没有后继。数组在内存中是连续存放的,而链表在内存中的布局是不规则的,我们知道访问某个数组元素b[n]时可以通过基地址+n×每个元素的字节数得到它地址,或者说数组支持随机访问,而链表是不支持随机访问的,只能通过前一个元素的指针域得知后一个元素的地址,因此只能从头指针开始顺序访问各节点。以下代码实现了单链表的基本操作。

例 26.1. 单链表

/* linkedlist.h */
#ifndef LINKEDLIST_H
#define LINKEDLIST_H

typedef struct node *link;
struct node {
	unsigned char item;
	link next;
};

link make_node(unsigned char item);
void free_node(link p);
link search(unsigned char key);
void insert(link p);
void delete(link p);
void traverse(void (*visit)(link));
void destroy(void);
void push(link p);
link pop(void);

#endif
/* linkedlist.c */
#include <stdlib.h>
#include "linkedlist.h"

static link head = NULL;

link make_node(unsigned char item)
{
	link p = malloc(sizeof *p);
	p->item = item;
	p->next = NULL;
	return p;
}

void free_node(link p)
{
	free(p);
}

link search(unsigned char key)
{
	link p;
	for (p = head; p; p = p->next)
		if (p->item == key)
			return p;
	return NULL;
}

void insert(link p)
{
	p->next = head;
	head = p;
}

void delete(link p)
{
	link pre;
	if (p == head) {
		head = p->next;
		return;
	}
	for (pre = head; pre; pre = pre->next)
		if (pre->next == p) {
			pre->next = p->next;
			return;
		}
}

void traverse(void (*visit)(link))
{
	link p;
	for (p = head; p; p = p->next)
		visit(p);
}

void destroy(void)
{
	link q, p = head;
	head = NULL;
	while (p) {
		q = p;
		p = p->next;
		free_node(q);
	}
}

void push(link p)
{
	insert(p);
}

link pop(void)
{
	if (head == NULL)
		return NULL;
	else {
		link p = head;
		head = head->next;
		return p;
	}
}
/* main.c */
#include <stdio.h>
#include "linkedlist.h"

void print_item(link p)
{
	printf("%d\n", p->item); 
}

int main(void)
{
	link p = make_node(10);
	insert(p);
	p = make_node(5);
	insert(p);
	p = make_node(90);
	insert(p);
	p = search(5);
	delete(p);
	free_node(p);
	traverse(print_item);
	destroy();

	p = make_node(100);
	push(p);
	p = make_node(200);
	push(p);
	p = make_node(250);
	push(p);
	while (p = pop()) {
		print_item(p);
		free_node(p);
	}

	return 0;
}

在初始化时把头指针head初始化为NULL,表示空链表。然后main函数调用make_node创建几个节点,分别调用insert插入到链表中。

void insert(link p)
{
	p->next = head;
	head = p;
}

图 26.1. 链表的插入操作

链表的插入操作

正如上图所示,insert函数虽然简单,其中也隐含了一种特殊情况(Special Case)的处理,当headNULL时,执行insert操作插入第一个节点之后,head指向第一个节点,而第一个节点的next指针域成为NULL,这很合理,因为它也是最后一个节点。所以空链表虽然是一种特殊情况,却不需要特殊的代码来处理,和一般情况用同样的代码处理即可,这样写出来的代码更简洁,但是在读代码时要想到可能存在的特殊情况。当然,insert函数传进来的参数p也可能有特殊情况,传进来的p可能是NULL,甚至是野指针,本章的函数代码都假定调用者的传进来的参数是合法的,不对参数做特别检查。事实上,对指针参数做检查是不现实的,如果传进来的是NULL还可以检查一下,如果传进来的是野指针,根本无法检查它指向的内存单元是不是合法的,C标准库的函数通常也不做这种检查,例如strcpy(p, NULL)就会引起段错误。

接下来main函数调用search在链表中查找某个节点,如果找到就返回指向该节点的指针,找不到就返回NULL

link search(unsigned char key)
{
	link p;
	for (p = head; p; p = p->next)
		if (p->item == key)
			return p;
	return NULL;
}

search函数其实也隐含了对于空链表这种特殊情况的处理,如果是空链表则循环体一次都不执行,直接返回NULL

然后main函数调用delete从链表中摘除用search找到的节点,最后调用free_node释放它的存储空间。

void delete(link p)
{
	link pre;
	if (p == head) {
		head = p->next;
		return;
	}
	for (pre = head; pre; pre = pre->next)
		if (pre->next == p) {
			pre->next = p->next;
			return;
		}
}

图 26.2. 链表的删除操作

链表的删除操作

从上图可以看出,要摘除一个节点需要首先找到它的前趋然后才能做摘除操作,而在单链表中通过某个节点只能找到它的后继而不能找到它的前趋,所以删除操作要麻烦一些,需要从第一个节点开始依次查找要摘除的节点的前趋。delete操作也要处理一种特殊情况,如果要摘除的节点是链表的第一个节点,它是没有前趋的,这种情况要用特殊的代码处理,而不能和一般情况用同样的代码处理。这样很不爽,能不能把这种特殊情况转化为一般情况呢?可以把delete函数改成这样:

void delete(link p)
{
	link *pnext;
	for (pnext = &head; *pnext; pnext = &(*pnext)->next)
		if (*pnext == p) {
			*pnext = p->next;
			return;
		}
}

图 26.3. 消除特殊情况的链表删除操作

消除特殊情况的链表删除操作

定义一个指向指针的指针pnext,在for循环中pnext遍历的是指向链表中各节点的指针域,这样就把head指针和各节点的next指针统一起来了,可以在一个循环中处理。

然后main函数调用traverse函数遍历整个链表,调用destroy函数销毁整个链表。请读者自己阅读这两个函数的代码。

如果限定每次只在链表的头部插入和删除元素,就形成一个LIFO的访问序列,所以在链表头部插入和删除元素的操作实现了堆栈的pushpop操作,main函数的最后几步把链表当成堆栈来操作,从打印的结果可以看到出栈的顺序和入栈是相反的。想一想,用链表实现的堆栈和第 2 节 “堆栈”中用数组实现的堆栈相比有什么优点和缺点?

习题

1、修改insert函数实现插入排序的功能,链表中的数据按从小到大排列,每次插入数据都要在链表中找到合适的位置再插入。在第 6 节 “折半查找”中我们看到,如果数组中的元素是有序排列的,可以用折半查找算法更快地找到某个元素,想一想如果链表中的节点是有序排列的,是否适用折半查找算法?为什么?

2、基于单链表实现队列的enqueuedequeue操作。在链表的末尾再维护一个指针tail,在tailenqueue,在headdequeue。想一想能不能反过来,在headenqueue而在taildequeue

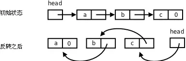
3、实现函数void reverse(void);将单链表反转。如下图所示。

图 26.4. 单链表的反转

单链表的反转

1.2. 双向链表

链表的delete操作需要首先找到要摘除的节点的前趋,而在单链表中找某个节点的前趋需要从表头开始依次查找,对于n个节点的链表,删除操作的时间复杂度为O(n)。可以想像得到,如果每个节点再维护一个指向前趋的指针,删除操作就像插入操作一样容易了,时间复杂度为O(1),这称为双向链表(Doubly Linked List)。要实现双向链表只需在上一节代码的基础上改动两个地方。

linkedlist.h中修改链表节点的结构体定义:

struct node {
	unsigned char item;
	link prev, next;
};

linkedlist.c中修改insertdelete函数:

void insert(link p)
{
	p->next = head;
	if (head)
		head->prev = p;
	head = p;
	p->prev = NULL;
}

void delete(link p)
{
	if (p->prev)
		p->prev->next = p->next;
	else
		head = p->next;
	if (p->next)
		p->next->prev = p->prev;
}

图 26.5. 双向链表

双向链表

由于引入了prev指针,insertdelete函数中都有一些特殊情况需要用特殊的代码处理,不能和一般情况用同样的代码处理,这非常不爽,如果在表头和表尾各添加一个Sentinel节点(这两个节点只用于界定表头和表尾,不保存数据),就可以把这些特殊情况都转化为一般情况了。

例 26.2. 带Sentinel的双向链表

/* doublylinkedlist.h */
#ifndef DOUBLYLINKEDLIST_H
#define DOUBLYLINKEDLIST_H

typedef struct node *link;
struct node {
	unsigned char item;
	link prev, next;
};

link make_node(unsigned char item);
void free_node(link p);
link search(unsigned char key);
void insert(link p);
void delete(link p);
void traverse(void (*visit)(link));
void destroy(void);
void enqueue(link p);
link dequeue(void);

#endif
/* doublylinkedlist.c */
#include <stdlib.h>
#include "doublylinkedlist.h"

struct node tailsentinel;
struct node headsentinel = {0, NULL, &tailsentinel};
struct node tailsentinel = {0, &headsentinel, NULL};

static link head = &headsentinel;
static link tail = &tailsentinel;

link make_node(unsigned char item)
{
	link p = malloc(sizeof *p);
	p->item = item;
	p->prev = p->next = NULL;
	return p;
}

void free_node(link p)
{
	free(p);
}

link search(unsigned char key)
{
	link p;
	for (p = head->next; p != tail; p = p->next)
		if (p->item == key)
			return p;
	return NULL;
}

void insert(link p)
{
	p->next = head->next;
	head->next->prev = p;
	head->next = p;
	p->prev = head;
}

void delete(link p)
{
	p->prev->next = p->next;
	p->next->prev = p->prev;
}

void traverse(void (*visit)(link))
{
	link p;
	for (p = head->next; p != tail; p = p->next)
		visit(p);
}

void destroy(void)
{
	link q, p = head->next;
	head->next = tail;
	tail->prev = head;
	while (p != tail) {
		q = p;
		p = p->next;
		free_node(q);
	}
}

void enqueue(link p)
{
	insert(p);
}

link dequeue(void)
{
	if (tail->prev == head)
		return NULL;
	else {
		link p = tail->prev;
		delete(p);
		return p;
	}
}
/* main.c */
#include <stdio.h>
#include "doublylinkedlist.h"

void print_item(link p)
{
	printf("%d\n", p->item); 
}

int main(void)
{
	link p = make_node(10);
	insert(p);
	p = make_node(5);
	insert(p);
	p = make_node(90);
	insert(p);
	p = search(5);
	delete(p);
	free_node(p);
	traverse(print_item);
	destroy();

	p = make_node(100);
	enqueue(p);
	p = make_node(200);
	enqueue(p);
	p = make_node(250);
	enqueue(p);
	while (p = dequeue()) {
		print_item(p);
		free_node(p);
	}

	return 0;
}

图 26.6. 带Sentinel的双向链表

带Sentinel的双向链表

这个例子也实现了队列的enqueuedequeue操作,现在每个节点有了prev指针,可以反过来在headenqueue而在taildequeue了。

现在结合第 5 节 “环形队列”想一想,其实用链表实现环形队列是最自然的,以前基于数组实现环形队列,我们还需要“假想”它是首尾相接的,而如果基于链表实现环形队列,我们本来就可以用指针串成首尾相接的。把上面的程序改成环形链表(Circular Linked List)也非常简单,只需要把doublylinkedlist.c中的

struct node tailsentinel;
struct node headsentinel = {0, NULL, &tailsentinel};
struct node tailsentinel = {0, &headsentinel, NULL};

static link head = &headsentinel;
static link tail = &tailsentinel;

改成:

struct node sentinel = {0, &sentinel, &sentinel};
static link head = &sentinel;

再把doublylinkedlist.c中所有的tail替换成head即可,相当于把headtail合二为一了。

图 26.7. 环形链表

环形链表

1.3. 静态链表

回想一下我们在例 12.4 “用广度优先搜索解迷宫问题”中使用的数据结构,我把图重新画在下面。

图 26.8. 广度优先搜索的队列数据结构

广度优先搜索的队列数据结构

这是一个静态分配的数组,每个数组元素都有rowcolpredecessor三个成员,predecessor成员保存一个数组下标,指向数组中的另一个元素,这其实也是链表的一种形式,称为静态链表,例如上图中的第6、4、2、1、0个元素串成一条链表。

1.4. 本节综合练习

1、Josephus是公元1世纪的著名历史学家,相传在一次战役中他和另外几个人被围困在山洞里,他们宁死不屈,决定站成一圈,每次数到三个人就杀一个,直到全部死光为止。Josephus和他的一个朋友不想死,于是串通好了站在适当的位置上,最后只剩下他们俩的时候这个游戏就停止了。如果一开始的人数为N,每次数到M个人就杀一个,那么要想不死应该站在什么位置呢?这个问题比较复杂,[具体数学]的1.3节研究了Josephus问题的解,有兴趣的读者可以参考。现在我们做个比较简单的练习,用链表模拟Josephus他们玩的这个游戏,NM作为命令行参数传入,每个人的编号依次是1~N,打印每次被杀者的编号,打印最后一个幸存者的编号。

2、在第 2.11 节 “本节综合练习”的习题1中规定了一种日志文件的格式,每行是一条记录,由行号、日期、时间三个字段组成,由于记录是按时间先后顺序写入的,可以看作所有记录是按日期排序的,对于日期相同的记录再按时间排序。现在要求从这样的一个日志文件中读出所有记录组成一个链表,在链表中首先按时间排序,对于时间相同的记录再按日期排序,最后写回文件中。比如原文件的内容是:

1 2009-7-30 15:16:42
2 2009-7-30 15:16:43
3 2009-7-31 15:16:41
4 2009-7-31 15:16:42
5 2009-7-31 15:16:43
6 2009-7-31 15:16:44

重新排序输出的文件内容是:

1 2009-7-31 15:16:41
2 2009-7-30 15:16:42
3 2009-7-31 15:16:42
4 2009-7-30 15:16:43
5 2009-7-31 15:16:43
6 2009-7-31 15:16:44

host by dotbbq.com CDN 

出售域名  LinuxTags